Galleria foto
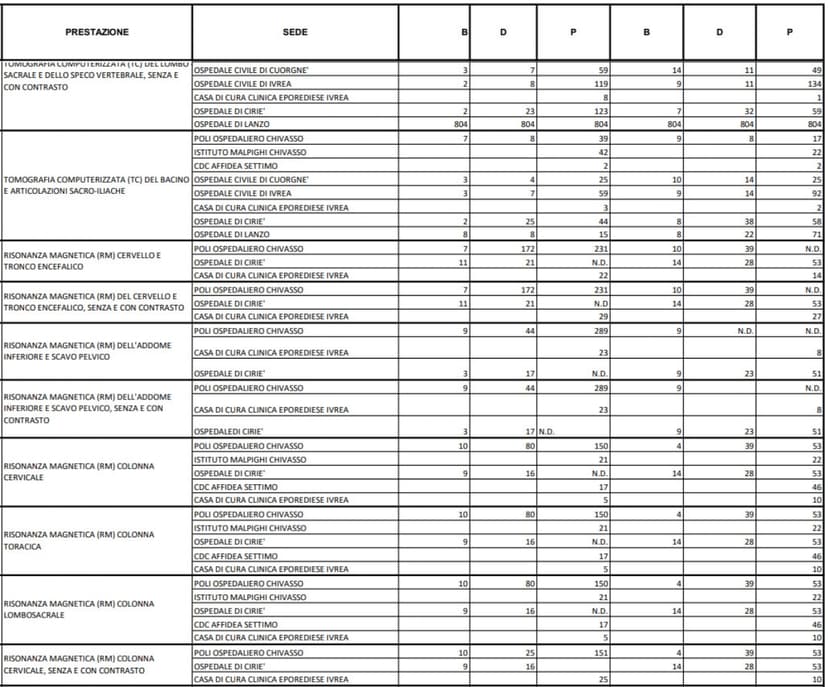
CANAVESE - Liste d'attesa: ai livelli pre-pandemia ricoveri e visite ma, spesso, si attende ancora troppo - I DATI
22 foto
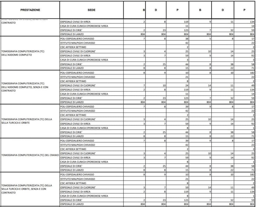
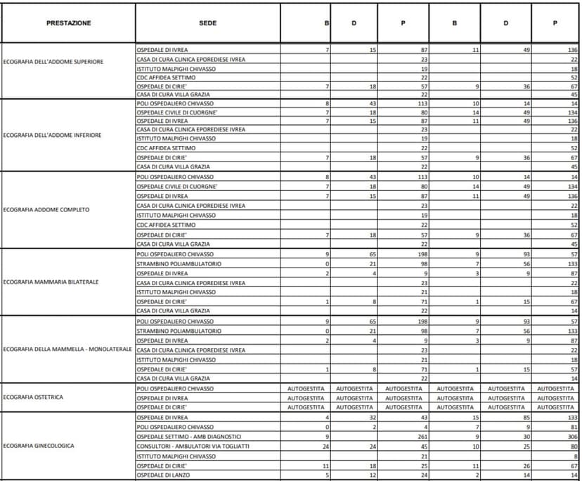
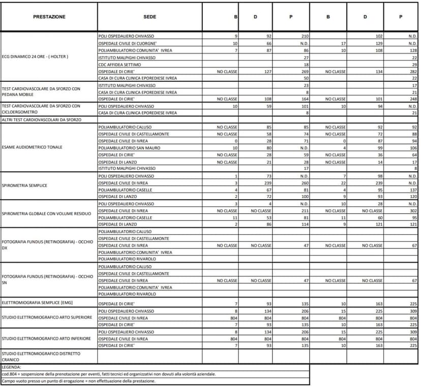
CANAVESE - Liste d'attesa: ai livelli pre-pandemia ricoveri e visite ma, spesso, si attende ancora troppo - I DATI
22 foto