
CANAVESE - Tema scottante quello delle liste d'attesa per gli esami sanitari. In Canavese come altrove. Oggi la Regione Piemonte ha fornito i dati del piano di recupero post pandemia per il quale ha stanziato 50 milioni di euro. Dall’aggiornamento di marzo si rileva che è stato raggiunto e superato l’obiettivo di riportare ai livelli pre-pandemia il numero dei ricoveri, delle visite e delle prestazioni nelle categorie di priorità e primo accesso, mentre sulle 42 prestazioni non urgenti del Piano nazionale il tempo medio di attesa si è ridotto da 38 a 37 giorni, e in particolare su 25 prestazioni è inferiore al 2018 in media di oltre 6 giorni.
«I numeri ci dicono che il Piano sta funzionando grazie al lavoro di squadra delle aziende sanitarie e degli operatori pubblici, privati e dei medici di medicina generale - sottolineano il presidente Cirio e l’assessore Icardi - Il sistema sanitario ha recuperato la capacità operativa pre-Covid e ora siamo all’anno zero. Le liste d’attesa rappresentavano una fragilità del nostro sistema sanitario già prima della pandemia, così come l’affollamento dei pronto soccorso e la carenza di medicina territoriale, ma adesso per la prima volta queste criticità vengono affrontate con un metodo strutturato e scientifico. Nel 2023 lavoreremo per assestare i risultati del 2022 e continuare a ridurre i tempi di attesa».
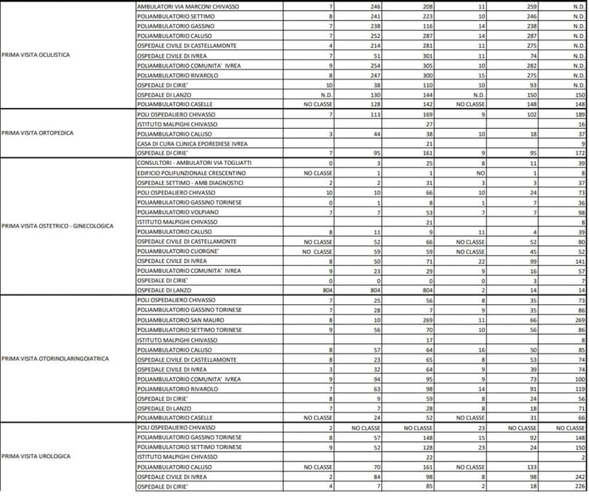
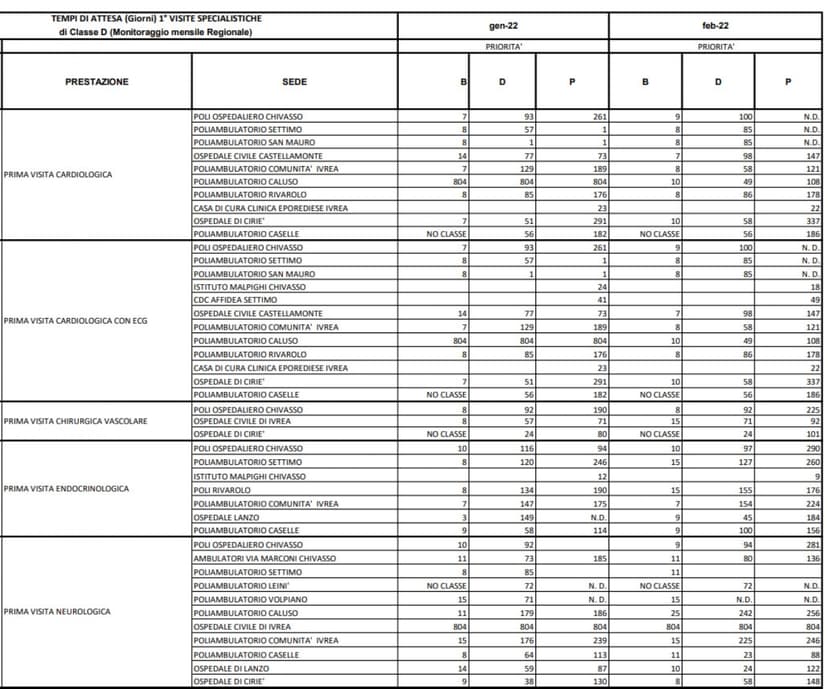
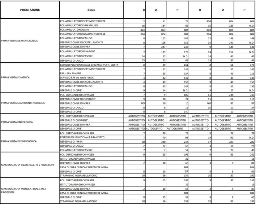
E in Canavese come stanno andando le cose? L'Asl To4, lo scorso 21 febbraio, ha aggiornato i dati dei tempi d'attesa previsti per visite ed esami specialistici. Una nota: i tempi di attesa monitorati dalla Regione e qui pubblicati sono riferiti alla classe di priorità "D" (differibile), nel giorno indice comunicato. Per giorno indice si intende il giorno all'inizio del quale sono effettuate le rilevazioni dei tempi di attesa delle visite/prestazioni con riguardo al primo posto libero presso ciascun punto di erogazione. Tutti i dati nella tabella sotto forniti dall'Asl To4 dove è stato però riportato un errore in alto: i dati, infatti, fanno riferimento a gennaio e febbraio 2023 (e non 2022) come correttamente riportato dal sito dell'azienda sanitaria.
Esistono quattro codici di priorità: U (Urgente) da eseguire nel più breve tempo possibile e, comunque, entro 72 ore. B (Breve) da eseguire entro 10 giorni. D (Differibile): da eseguire entro 30 giorni per le visite o 60 giorni per gli accertamenti diagnostici. P (Programmabile): da eseguire entro 120 giorni. Le visite di controllo e gli screening non rientrano in alcuna di queste classi di priorità.
Per una prima visita cardiologica l'attesa, tolte le urgenze, va dai 49 giorni di Caluso ai 100 di Chivasso. Per il neurologo si attendono dai 23 giorni di Caselle ai 242 di Caluso. Per l'oculista 93 giorni di attesa a Ciriè che salgono fino 275 a Castellamonte. E ancora: l'otorino a Lanzo è prenotabile in 18 giorni ma ce ne vogliono 91 a Rivarolo. Per la visita dal dermatologo servono 35 giorni a Lanzo e fino a 252 a Rivarolo. Per il fisiatra 23 giorni a Ciriè e fino a 57 a Caluso. Quando compare il codice 804 significa che è stata sospesa la prenotazione per eventi, fatti tecnici ed organizzativi non dovuti alla volontà aziendale.
Tutti i dati sono disponibili anche in PDF sul sito dell'Asl To4 CLICCANDO QUI
Nelle tabelle sotto, dopo i dati dell'Asl To4, le slide diffuse dalla Regione Piemonte oggi con i dati a livello regionale.












